Visualizing Data Distributions in R 
  Histograms, Bar Plots, and the Logic of Central Tendency
Bogdan G. Popescu 
  
 
        
            John Cabot University
          
     
 
 
Intro 
Overview 
Today, we’ll learn how to:
Produce histograms to explore distributions 
 
Create bar plots from frequency tables 
 
Generate line plots to examine trends over time 
 
 
Using R 
 
Using R 
 
Using R 
 
Using R 
 
Using R 
 
Using R 
 
Using R 
 
Using R 
Press CMD + A or Ctrl + A and then Press Delete 
 
Using R 
 
Using R 
Then type:
---  
title :   "Notebook"  
author :   "Your Name"  
date :   "July 26, 2025"  
format :  
   html :  
     toc :   true  
     number-sections :   true  
     colorlinks :   true  
     smooth-scroll :   true  
     embed-resources :   true  
---  
 
Using R 
 
Using R 
 
Using R 
 
Using R 
 
Using R 
 
Using R 
 
Using R 
 
Using R 
 
Using R 
 
Using R 
 
Using R 
 
Using R 
 
Using R 
 
Using R 
 
Using R 
 
Using R 
 
Using R 
 
Using R 
 
Using R 
 
Using R 
 
Using R 
 
Using R 
 
Using R 
 
Opening the File 
We first remove what we had previously
# Remove all objects from memory  
rm (list =  ls ()) 
 
 
Opening a File 
Download the following datasets from Dropbox:
Place them in your working directory or folder.
 
 
Opening the File 
To get the file path we simply go to the relevant folder
# This opens a file dialog to select your file  
 file_path <-  file.choose () 
 file_path 
 
 
Opening the File 
Once we have the path, we can now read the files:
# Defining Paths  
 file_path <-  "/Users/bgpopescu/Library/CloudStorage/Dropbox/john_cabot/teaching/research_workshop/lecture8/data/"  
# Use file.path() to construct full path  
 life_expectancy_df <-  read.csv (file.path (file_path, "life-expectancy.csv" )) 
 urbanization_df <-  read.csv (file.path (file_path, "share-of-population-urban.csv" )) 
 
 
What We Want to Do 
Explanation 
These are our datasets
 
Doing it 
Calculating Average by Country Code 
This is what this looks like in code for life_expectancy_df2:
library (dplyr) 
 life_expectancy_df2 <-  life_expectancy_df%>%  
   dplyr:: group_by (Code)%>%  
   dplyr:: summarize (life_exp_mean= mean (Life.expectancy.at.birth..historical.)) 
 
This is what this looks like in code for urbanization_df2:
 urbanization_df2 <-  urbanization_df%>%  
   dplyr:: group_by (Code)%>%  
   dplyr:: summarize (urb_mean= mean (Urban.population....of.total.population.)) 
 
 
 
Cleaning the Data 
Removing Countries with Strange Labels, Left Merge, Removing NA Values 
 weird_labels <-  c ("OWID_KOS" , "OWID_WRL" , "" ) 
 clean_life_expectancy_df<- subset (life_expectancy_df2, ! (Code %in%  weird_labels)) 
 clean_urbanization_df<- subset (urbanization_df2, ! (Code %in%  weird_labels)) 
 
We will now perform a left join to combine urbanization data with life expectancy data based on Code.
 merged_data <-  left_join (clean_life_expectancy_df, clean_urbanization_df, by =  c ("Code" = "Code" )) 
 
 
This is how we remove NA values
 merged_data2<- subset (na.omit (merged_data)) 
 
 
 
Histograms 
What Is a Histogram? 
A histogram is a type of bar chart that shows the distribution of numerical data.
It breaks the range of values into intervals (called bins)  and counts how many values fall into each bin.
 
It helps us answer:
What does the data look like? 
Where are most values concentrated? 
 
 
 
Histograms 
Example – Student Test Scores 
 
400–800 
1 
 
800–1200 
4 
 
1200–1600 
5 
 
1600–2000 
3 
 
2000–2400 
2 
 
 
 
Histograms 
Example – Student Test Scores 
 
400–800 
1 
 
800–1200 
4 
 
1200–1600 
5 
 
1600–2000 
3 
 
2000–2400 
2 
 
 
 
Histograms 
Example – Student Test Scores 
 
400–800 
1 
 
800–1200 
4 
 
1200–1600 
5 
 
1600–2000 
3 
 
2000–2400 
2 
 
 
 
Histograms 
Example – Student Test Scores 
 
400–800 
1 
 
800–1200 
4 
 
1200–1600 
5 
 
1600–2000 
3 
 
2000–2400 
2 
 
 
 
Creating a Bar Plot from a Frequency Table 
Step1: Rounding the values 
#Step1: Rounding the values  
 merged_data2$ life_exp_mean_rounded<- round (merged_data2$ life_exp_mean, 0 ) 
 merged_data2$ urb_mean_rounded<- round (merged_data2$ urb_mean, 0 ) 
head (merged_data2, n= 5 ) 
 
 
Creating a Bar Plot from a Frequency Table 
Step2: Creating a frequency table 
#Step2: Creating a frequency table  
 freq_table<- table (merged_data2$ life_exp_mean_rounded) 
 freq_table 
38 43 44 45 46 47 48 49 50 51 52 53 54 55 56 57 58 59 60 61 62 63 64 65 66 67 
 1  2  3  4  4  5  5  2  2  4 11  6  5  6  4  5  6  6 10 10  6  6 12 11  5 11 
68 69 70 71 72 73 74 75 77 
 9 11 12 12  4  4  1  6  3  
 
 
#Step3: Turning the table into a dataframe  
 freq_table<- data.frame (freq_table) 
 
 
#Step4: Inspecting the names  
names (freq_table) 
 
 
 
Creating a Bar Plot from a Frequency Table 
Step2: Creating a frequency table 
#Step5: Providing more intuitive names  
names (freq_table)[1 ]<- "life_exp_mean_rounded"  
names (freq_table)[2 ]<- "frequency"  
#Step6: Turning factor variables into numeric  
 freq_table$ life_exp_mean_rounded<- as.numeric (as.character (freq_table$ life_exp_mean_rounded)) 
 
'data.frame':   35 obs. of  2 variables:
 $ life_exp_mean_rounded: num  38 43 44 45 46 47 48 49 50 51 ...
 $ frequency            : int  1 2 3 4 4 5 5 2 2 4 ... 
 
 
 
[1] "life_exp_mean_rounded" "frequency"             
 
 
 
 
Creating a Bar Plot from a Frequency Table 
Step2: Creating a frequency table 
Inspecting the new dataframe
 
Creating a Bar Plot from a Frequency Table 
Step3: Creating the Barplot 
Show the code 
library (ggplot2) 
#Step7: Creating the barplot  
 fig5<- ggplot (data =  freq_table, aes (x= life_exp_mean_rounded, y= frequency))+  
   geom_bar (stat= "identity" )+  
   theme_bw ()+  
   coord_cartesian (xlim =  c (min (merged_data2$ life_exp_mean)- 5 , 
                     max (merged_data2$ life_exp_mean)+ 5 ), 
            ylim =  c (0 , 20 )) 
 fig5 
 
 
 
Creating a Bar Plot from a Frequency Table 
Step4: Creating a Histogram using geom_histogram 
Show the code 
 fig5_b<- ggplot (data =  merged_data2, aes (x= life_exp_mean))+  
   geom_histogram ()+  
   theme_bw ()+  
     coord_cartesian (xlim =  c (min (merged_data2$ life_exp_mean)- 5 , 
                     max (merged_data2$ life_exp_mean)+ 5 ), 
            ylim =  c (0 , 20 )) 
 fig5_b 
 
 
 
Creating a Bar Plot from a Frequency Table 
Step4: Creating a Histogram using geom_histogram 
This is how we can control the bin size: 50
Show the code 
 fig5_b<- ggplot (data =  merged_data2, aes (x= life_exp_mean))+  
   geom_histogram (bins =  50 , col= "white" )+  
   theme_bw ()+  
     coord_cartesian (xlim =  c (min (merged_data2$ life_exp_mean)- 5 , 
                     max (merged_data2$ life_exp_mean)+ 5 ), 
            ylim =  c (0 , 20 )) 
 fig5_b 
 
 
 
Creating a Bar Plot from a Frequency Table 
Step4: Creating a Histogram using geom_histogram 
This is how we can control the bin size: 35
Show the code 
 fig5_b<- ggplot (data =  merged_data2, aes (x= life_exp_mean))+  
   geom_histogram (bins =  35 , col= "white" )+  
   theme_bw ()+  
     coord_cartesian (xlim =  c (min (merged_data2$ life_exp_mean)- 5 , 
                     max (merged_data2$ life_exp_mean)+ 5 ), 
            ylim =  c (0 , 20 )) 
 fig5_b 
 
 
 
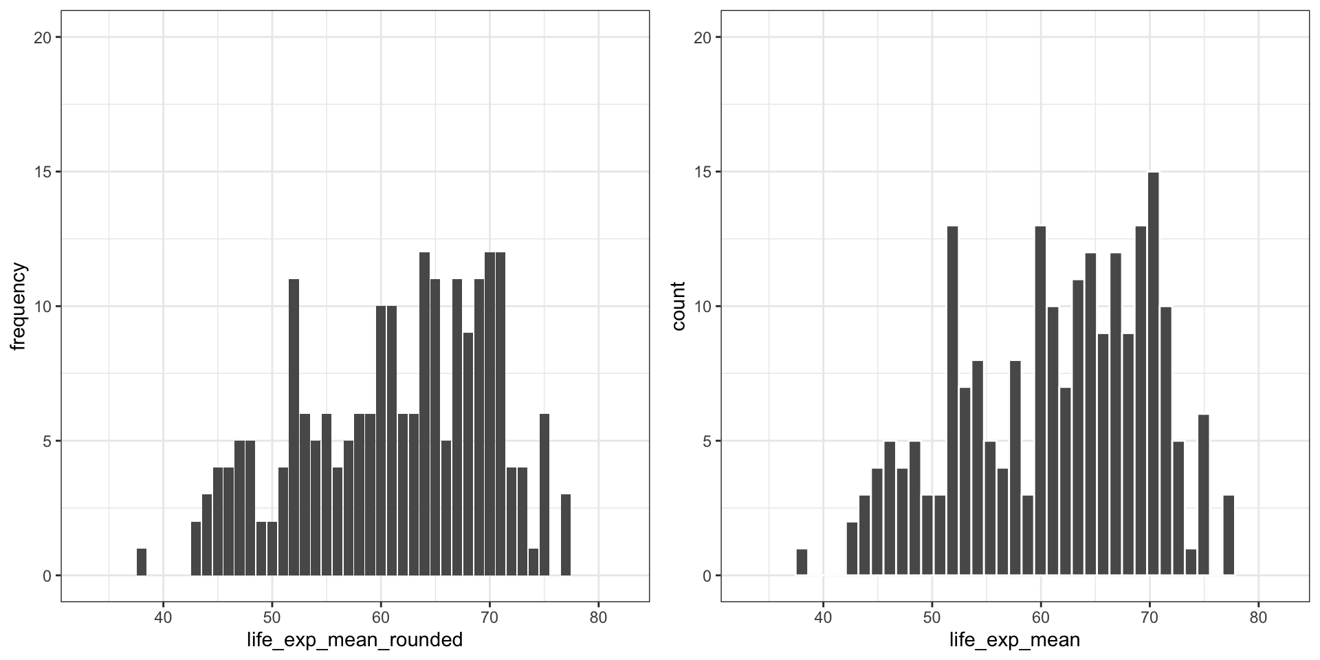
Creating a Bar Plot from a Frequency Table 
This is how we put them side by side
Show the code 
library (gridExtra) 
grid.arrange (fig5, fig5_b, ncol= 2 ) 
 
 
 
Mapping the Measures of Central Tendency 
Calculating Mean 
The mean  describes the average value of a variable. 
It is calculated as: 
 
\[
\bar{x} = \frac{x_1 + x_2 + \dots + x_n}{n} = \frac{\sum x_i}{n}
\] 
 
 
Mapping the Measures of Central Tendency 
Calculating Mean 
In your case, we can calculate the mean for all the values in life expectancy
# Calculate the mean  
 life_exp_mean <-  mean (merged_data2$ life_exp_mean, na.rm =  TRUE ) 
 life_exp_mean 
 
 mean_label <-  paste ("Mean (x̄): \n " , round (life_exp_mean, 2 )) 
 y_coord<- 17  
 fig5_b<- ggplot (data =  merged_data2, aes (x= life_exp_mean))+  
   geom_histogram (bins =  35 , col= "white" )+  
   geom_vline (xintercept= life_exp_mean, linetype= 'dashed' , col =  'red' )+  
   annotate (geom= "text" ,  
            x= life_exp_mean-2 ,  
            y= y_coord,  
            label= mean_label, 
            color= "red" )+  
   theme_bw ()+  
     coord_cartesian (xlim =  c (min (merged_data2$ life_exp_mean)- 5 , 
                     max (merged_data2$ life_exp_mean)+ 5 ), 
            ylim =  c (0 , 20 )) 
 fig5_b 
 
 
 
Mapping the Measures of Central Tendency 
Calculating Mean 
In your case, we can calculate the mean for all the values in life expectancy
 
Mapping the Measures of Central Tendency 
The median  is the middle value in a dataset ordered from smallest to largest . 
It splits the dataset into two equal halves. 
 
If the number of observations is odd :
Median = middle number 
 
Example: 
Data = [1, 3, 7] → Median = 3  
  
 
 
If the number of observations is even :
Median = average of the two middle values 
 
Example: 
Data = [1, 3, 5, 7] → Median = ( = 4) 
  
 
 
 
Mapping the Measures of Central Tendency 
In your case, we can calculate the median for all the values in life expectancy
# Calculate the mean  
 life_exp_median <-  median (merged_data2$ life_exp_mean) 
 life_exp_median 
 
 mean_label <-  paste ("Mean (x̄): \n " , round (life_exp_mean, 2 )) 
 median_label <-  paste ("Median: \n " , round (life_exp_median, 2 )) 
 y_coord<- 17  
 fig5_b <-  ggplot (data =  merged_data2, aes (x =  life_exp_mean)) +  
   geom_histogram (bins =  35 , col =  "white" ) +  
   geom_vline (xintercept =  life_exp_mean, linetype =  "dashed" , color =  "red" ) +  
   geom_vline (xintercept =  life_exp_median, linetype =  "dashed" , color =  "blue" ) +  
   annotate ("text" , x =  life_exp_mean -  2 , y =  y_coord, label =  mean_label, color =  "red" ) +  
   annotate ("text" , x =  life_exp_median +  2 , y =  y_coord, label =  median_label, color =  "blue" ) +  
   theme_bw ()+  
     coord_cartesian (xlim =  c (min (merged_data2$ life_exp_mean)- 5 , 
                     max (merged_data2$ life_exp_mean)+ 5 ), 
            ylim =  c (0 , 20 )) 
 fig5_b 
 
 
 
Mapping the Measures of Central Tendency 
In your case, we can calculate the median for all the values in life expectancy
 
Mapping the Measures of Central Tendency 
Another way to do this is through a boxplot
 
Mapping the Measures of Central Tendency 
Another way to do this is through a boxplot
 
Measures of Dispersion 
Common Measures 
Standard Deviation : 
\[s = \sqrt{s^2}\]  (Gives average distance from the mean) 
 
 
Mapping the Measures of Dispersion 
Standard Deviation 
# Calculating sd  
 life_exp_sd <-  sd (merged_data2$ life_exp_mean) 
# Create sequence for axis ticks  
 sigma_breaks <-  life_exp_mean +  (- 3 : 3 ) *  life_exp_sd 
# Replacing the x-ticks with the SD  
 sigma_labels <-  c ("-3s" , "-2s" , "-1s" , "x̄" , "+1s" , "+2s" , "+3s" ) 
 
 
Mapping the Measures of Dispersion 
Standard Deviation 
This is how we create the graph.
 median_label <-  paste ("Median: \n " , round (life_exp_median, 2 )) 
 y_coord<- 17  
# Histogram with SD-based axis  
 fig5_b <-  ggplot (data =  merged_data2, aes (x =  life_exp_mean)) +  
   geom_histogram (bins =  35 , col =  "white" ) +  
   geom_vline (xintercept =  life_exp_mean, linetype =  "dashed" , color =  "red" ) +  
#  geom_vline(xintercept = median(life_expectancy_df$Life.expectancy.at.birth..historical., na.rm = TRUE), linetype = "dashed", color = "blue") +  
   annotate ("text" , x =  life_exp_mean -  2 , y =  y_coord, label =  mean_label, color =  "red" ) +  
#  annotate("text", x = life_exp_median + 2, y = y_coord, label = median_label, color = "blue") +  
   scale_x_continuous (breaks =  sigma_breaks, labels =  sigma_labels) +  
   theme_bw ()+  
     coord_cartesian (xlim =  c (min (merged_data2$ life_exp_mean)- 5 , 
                     max (merged_data2$ life_exp_mean)+ 5 ), 
            ylim =  c (0 , 20 )) 
 
 fig5_b 
 
 
Mapping the Measures of Dispersion 
Standard Deviation 
This is how we can visualize the standard deviations.
 
Conclusion 
Histograms  show the shape of a continuous variable’s distribution 
 
Bar plots  visualize frequencies of discrete or grouped values
 
Mean  and median  describe central tendency 
 
A big gap between them often signals skew  
 
Standard deviation  shows how spread out the values are