L19: Combining Vectors and Rasters

Grids, Zonal Stats, Count by Polygons

Bogdan G. Popescu

John Cabot University

Introduction

In this lecture, we will continue to learn about spatial operations

  1. Making grids
  1. Calculating zonal statistics
  1. Calculating number of points within a polygon
  1. Learning more about extracting Open Street Map data

We will use all these tools to make informed business decisisons

Overview

We will use some of the GIS operations that we learned. We will go over one practical example.

Let’s assume McDonald’s tries to open new restaurants in Rome Italy.

Like all profit-oriented companies, McDonald’s tries to minimize costs and maximize profit.

They are trying to open restaurants in areas:

  • where there isn’t too much competition
  • where many people live

The Problem

Thus, as the good consultant that you are, you will use three data sources:

  • No. of restaurants and their location in Rome
  • No. of already-existing McDonald’s restaurants
  • Population density in Rome

We will then perform GIS operations and make business recommendations.

The Data

  • The Restaurant Data
  • Open Street Map is a great data source
  • However, downloading the entire area can be difficult
  • This helps download only specific items from OSM: this is especially helpful for downloading points

The Data: Overpass-turbo.eu

This is what https:/overpass-turbo.eu/ looks like (2023/11/20).

The Data: Restaurants

We first zoom into the relevant area.

The Data: Restaurants

We then search for the relevant amenity: “restaurant”.

The Data: Restaurants

We then search for the relevant amenity: “restaurant”.

The Data: Restaurants

We then search for the relevant amenity: “restaurant”.

We then press “Run”.

The Data: Restaurants

We now see all the restaurant within the relevant area (that we zommed onto).

How do we know what to Search For

How do we know what to Search For?

How do we know what to Search For?

How do we know what to Search For?

The Data: Restaurants

We then download the data in geojson format by clicking “Export” in the Overpass-Turbo page.

Geojson is a format for encoding a variety of geographic data structures.

The Data: Restaurants

We then save the data in the relevant folder.

The Data: Restaurants

For consistency and to be able to have exactly the same result, download the restaurant data

The Data: Restaurants

Here is how we load the data. Note that I changed the name of the file from export.geojson to restaurant.geojson.

library(sf)
restaurants <- read_sf("./data/restaurant.geojson", quiet = TRUE)

This is what the data looks like:

glimpse(restaurants)
Rows: 2,931
Columns: 210
$ id                               <chr> "node/252440275", "node/252601050", "…
$ `@id`                            <chr> "node/252440275", "node/252601050", "…
$ FIXME                            <chr> NA, NA, NA, NA, NA, NA, NA, NA, NA, N…
$ `access:covid19`                 <chr> NA, NA, NA, NA, NA, NA, NA, NA, NA, N…
$ `addr:city`                      <chr> "Roma", "Roma", "Roma", "Roma", NA, "…
$ `addr:country`                   <chr> NA, NA, "IT", "IT", NA, "IT", NA, NA,…
$ `addr:floor`                     <chr> NA, NA, NA, NA, NA, NA, NA, NA, NA, N…
$ `addr:housename`                 <chr> NA, NA, NA, NA, NA, NA, NA, NA, NA, N…
$ `addr:housenumber`               <chr> "53", "33C", "88", "369/375", NA, "25…
$ `addr:postcode`                  <chr> "00153", "00184", "00186", "00146", N…
$ `addr:street`                    <chr> "Viale di Trastevere", "Via di San Ma…
$ `addr:suburb`                    <chr> NA, NA, NA, NA, NA, NA, NA, NA, NA, N…
$ `addr:unit`                      <chr> NA, NA, NA, NA, NA, NA, NA, NA, NA, N…
$ air_conditioning                 <chr> NA, NA, NA, NA, NA, NA, NA, NA, NA, N…
$ all_you_can_eat                  <chr> NA, NA, NA, NA, NA, NA, NA, NA, NA, N…
$ alt_name                         <chr> NA, NA, "Filetti di baccalà", NA, NA,…
$ amenity                          <chr> "restaurant", "restaurant", "restaura…
$ amenity_1                        <chr> NA, NA, NA, NA, NA, NA, NA, NA, NA, N…
$ architect                        <chr> NA, NA, NA, NA, NA, NA, NA, NA, NA, N…
$ bar                              <chr> NA, NA, NA, NA, NA, NA, NA, NA, NA, N…
$ brand                            <chr> NA, NA, NA, NA, NA, NA, NA, NA, NA, N…
$ `brand:wikidata`                 <chr> NA, NA, NA, NA, NA, NA, NA, NA, NA, N…
$ `brand:wikipedia`                <chr> NA, NA, NA, NA, NA, NA, NA, NA, NA, N…
$ brewery                          <chr> NA, NA, NA, NA, NA, NA, NA, NA, NA, N…
$ building                         <chr> NA, NA, NA, NA, NA, NA, NA, NA, NA, N…
$ `building:colour`                <chr> NA, NA, NA, NA, NA, NA, NA, NA, NA, N…
$ `building:levels`                <chr> NA, NA, NA, NA, NA, NA, NA, NA, NA, N…
$ `building:material`              <chr> NA, NA, NA, NA, NA, NA, NA, NA, NA, N…
$ `building:use`                   <chr> NA, NA, NA, NA, NA, NA, NA, NA, NA, N…
$ capacity                         <chr> NA, NA, NA, NA, NA, NA, NA, NA, NA, N…
$ `capacity:outdoor_seating`       <chr> NA, NA, NA, NA, NA, NA, NA, NA, NA, N…
$ changing_table                   <chr> NA, NA, NA, NA, NA, NA, NA, NA, NA, N…
$ `changing_table:fee`             <chr> NA, NA, NA, NA, NA, NA, NA, NA, NA, N…
$ check_date                       <date> NA, NA, NA, NA, NA, NA, NA, NA, NA, …
$ `check_date:currency:XBT`        <date> NA, NA, NA, NA, NA, NA, NA, NA, NA, …
$ `check_date:opening_hours`       <date> NA, NA, NA, NA, NA, NA, NA, NA, NA, …
$ club                             <chr> NA, NA, NA, NA, NA, NA, NA, NA, NA, N…
$ comment                          <chr> NA, NA, NA, NA, NA, NA, NA, NA, NA, N…
$ `contact:email`                  <chr> NA, NA, NA, NA, NA, NA, NA, NA, NA, N…
$ `contact:facebook`               <chr> NA, "https://www.facebook.com/ristora…
$ `contact:foursquare`             <chr> NA, NA, NA, NA, NA, NA, NA, NA, NA, N…
$ `contact:google_plus`            <chr> NA, NA, NA, NA, NA, NA, NA, NA, NA, N…
$ `contact:housenumber`            <chr> NA, NA, NA, NA, NA, NA, NA, NA, NA, N…
$ `contact:instagram`              <chr> NA, NA, NA, NA, NA, NA, NA, NA, NA, N…
$ `contact:linkedin`               <chr> NA, NA, NA, NA, NA, NA, NA, NA, NA, N…
$ `contact:mobile`                 <chr> NA, NA, NA, NA, NA, NA, NA, NA, NA, N…
$ `contact:phone`                  <chr> NA, NA, NA, NA, NA, NA, NA, NA, NA, N…
$ `contact:pinterest`              <chr> NA, NA, NA, NA, NA, NA, NA, NA, NA, N…
$ `contact:postcode`               <chr> NA, NA, NA, NA, NA, NA, NA, NA, NA, N…
$ `contact:street`                 <chr> NA, NA, NA, NA, NA, NA, NA, NA, NA, N…
$ `contact:tripadvisor`            <chr> NA, NA, NA, NA, NA, NA, NA, NA, NA, N…
$ `contact:twitter`                <chr> NA, NA, NA, NA, NA, NA, NA, NA, NA, N…
$ `contact:webform`                <chr> NA, NA, NA, NA, NA, NA, NA, NA, NA, N…
$ `contact:website`                <chr> NA, NA, NA, NA, NA, NA, NA, NA, NA, N…
$ `contact:whatsapp`               <chr> NA, NA, NA, NA, NA, NA, NA, NA, NA, N…
$ `contact:youtube`                <chr> NA, NA, NA, NA, NA, NA, NA, NA, NA, N…
$ covered                          <chr> NA, NA, NA, NA, NA, NA, NA, NA, NA, N…
$ created_by                       <chr> NA, NA, NA, NA, "Potlatch 0.8c", NA, …
$ cuisine                          <chr> "pizza", "chinese", "italian", "pizza…
$ `cuisine:fish`                   <chr> NA, NA, NA, NA, NA, NA, NA, NA, NA, N…
$ `cuisine:pizza`                  <chr> NA, NA, NA, NA, NA, NA, NA, NA, NA, N…
$ `cuisine:specialty`              <chr> NA, NA, NA, NA, NA, NA, NA, NA, NA, N…
$ cuisine_1                        <chr> NA, NA, NA, NA, NA, NA, NA, NA, NA, N…
$ `currency:XBT`                   <chr> NA, NA, NA, NA, NA, NA, NA, NA, NA, N…
$ delivery                         <chr> NA, NA, NA, NA, NA, NA, NA, NA, NA, N…
$ `delivery:covid19`               <chr> NA, NA, NA, NA, NA, NA, NA, NA, NA, N…
$ `delivery:description`           <chr> NA, NA, NA, NA, NA, NA, NA, NA, NA, N…
$ `delivery:partner`               <chr> NA, NA, NA, NA, NA, NA, NA, NA, NA, N…
$ description                      <chr> NA, NA, NA, NA, NA, NA, NA, NA, NA, N…
$ `description:covid19`            <chr> NA, NA, NA, NA, NA, NA, NA, NA, NA, N…
$ `description:it`                 <chr> NA, NA, NA, NA, NA, NA, NA, NA, NA, N…
$ diet                             <chr> NA, NA, NA, NA, NA, NA, NA, NA, NA, N…
$ `diet:gluten_free`               <chr> NA, NA, NA, NA, NA, NA, NA, NA, NA, N…
$ `diet:halal`                     <chr> NA, NA, NA, NA, NA, NA, NA, NA, NA, N…
$ `diet:kosher`                    <chr> NA, NA, NA, NA, NA, NA, NA, NA, NA, N…
$ `diet:lactose_free`              <chr> NA, NA, NA, NA, NA, NA, NA, NA, NA, N…
$ `diet:meat`                      <chr> NA, NA, NA, NA, NA, NA, NA, NA, NA, N…
$ `diet:mediterranean`             <chr> NA, NA, NA, NA, NA, NA, NA, NA, NA, N…
$ `diet:non-vegetarian`            <chr> NA, NA, NA, NA, NA, NA, NA, NA, NA, N…
$ `diet:organic`                   <chr> NA, NA, NA, NA, NA, NA, NA, NA, NA, N…
$ `diet:vegan`                     <chr> NA, NA, NA, NA, NA, NA, NA, NA, NA, N…
$ `diet:vegetarian`                <chr> NA, "yes", NA, NA, NA, NA, NA, NA, NA…
$ dish                             <chr> NA, NA, NA, NA, NA, NA, NA, NA, NA, N…
$ disused                          <chr> NA, NA, NA, NA, NA, NA, NA, NA, NA, N…
$ drive_in                         <chr> NA, NA, NA, NA, NA, NA, NA, NA, NA, N…
$ drive_through                    <chr> NA, NA, NA, NA, NA, NA, NA, NA, NA, N…
$ ele                              <chr> NA, NA, NA, NA, NA, NA, NA, NA, NA, N…
$ email                            <chr> NA, NA, NA, NA, NA, "bottiglieria@ait…
$ entrance                         <chr> NA, NA, NA, NA, NA, NA, NA, NA, NA, N…
$ ethnicity                        <chr> NA, NA, NA, NA, NA, NA, NA, NA, NA, N…
$ facebook                         <chr> NA, NA, NA, NA, NA, NA, NA, NA, NA, N…
$ fax                              <chr> NA, NA, NA, NA, NA, NA, NA, NA, NA, N…
$ fixme                            <chr> NA, NA, NA, NA, NA, NA, NA, NA, NA, N…
$ highchair                        <chr> NA, NA, NA, NA, NA, NA, NA, NA, NA, N…
$ ice_cream                        <chr> NA, NA, NA, NA, NA, NA, NA, NA, NA, N…
$ image                            <chr> NA, NA, NA, NA, NA, NA, NA, NA, NA, N…
$ indoor_seating                   <chr> NA, NA, NA, NA, NA, NA, NA, NA, NA, N…
$ internet_access                  <chr> NA, NA, NA, NA, NA, NA, NA, NA, NA, N…
$ `internet_access:fee`            <chr> NA, NA, NA, NA, NA, NA, NA, NA, NA, N…
$ kids_area                        <chr> NA, NA, NA, NA, NA, NA, NA, NA, NA, N…
$ `kids_area:fee`                  <chr> NA, NA, NA, NA, NA, NA, NA, NA, NA, N…
$ `kids_area:indoor`               <chr> NA, NA, NA, NA, NA, NA, NA, NA, NA, N…
$ `kids_area:outdoor`              <chr> NA, NA, NA, NA, NA, NA, NA, NA, NA, N…
$ `kids_area:supervised`           <chr> NA, NA, NA, NA, NA, NA, NA, NA, NA, N…
$ layer                            <chr> NA, NA, NA, NA, NA, NA, NA, NA, NA, N…
$ level                            <chr> NA, NA, NA, NA, NA, NA, NA, NA, NA, N…
$ lgbtq                            <chr> NA, NA, NA, NA, NA, NA, NA, NA, NA, N…
$ live_music                       <chr> NA, NA, NA, NA, NA, NA, NA, NA, NA, N…
$ lunch                            <chr> NA, NA, NA, NA, NA, NA, NA, NA, NA, N…
$ `lunch:buffet`                   <chr> NA, NA, NA, NA, NA, NA, NA, NA, NA, N…
$ mapillary                        <chr> NA, NA, NA, NA, NA, NA, NA, NA, NA, N…
$ microbrewery                     <chr> NA, NA, NA, NA, NA, NA, NA, NA, NA, N…
$ mobile                           <chr> NA, NA, NA, NA, NA, NA, NA, NA, NA, N…
$ mobile_phone                     <chr> NA, NA, NA, NA, NA, NA, NA, NA, NA, N…
$ name                             <chr> "Pizzeria ai Marmi", "Sichuan Haozi",…
$ `name:de`                        <chr> NA, NA, NA, NA, NA, NA, NA, NA, NA, N…
$ `name:en`                        <chr> NA, NA, NA, NA, NA, NA, NA, NA, NA, N…
$ `name:es`                        <chr> NA, NA, NA, NA, NA, NA, NA, NA, NA, N…
$ `name:fr`                        <chr> NA, NA, NA, NA, NA, NA, NA, NA, NA, N…
$ `name:it`                        <chr> NA, NA, NA, NA, NA, NA, NA, NA, NA, N…
$ `name:ja`                        <chr> NA, NA, NA, NA, NA, NA, NA, NA, NA, N…
$ `name:ko`                        <chr> NA, NA, NA, NA, NA, NA, NA, NA, NA, N…
$ `name:nl`                        <chr> NA, NA, NA, NA, NA, NA, NA, NA, NA, N…
$ `name:pt`                        <chr> NA, NA, NA, NA, NA, NA, NA, NA, NA, N…
$ `name:ru`                        <chr> NA, NA, NA, NA, NA, NA, NA, NA, NA, N…
$ `name:tr`                        <chr> NA, NA, NA, NA, NA, NA, NA, NA, NA, N…
$ `name:zh`                        <chr> NA, NA, NA, NA, NA, NA, NA, NA, NA, N…
$ note                             <chr> NA, NA, NA, NA, NA, NA, NA, NA, NA, N…
$ `note:it`                        <chr> NA, NA, NA, NA, NA, NA, NA, NA, NA, N…
$ odbl                             <chr> NA, NA, NA, NA, NA, NA, NA, NA, NA, N…
$ old_name                         <chr> NA, NA, NA, NA, NA, NA, NA, NA, NA, N…
$ `old_ref:vatin`                  <chr> NA, NA, NA, NA, NA, NA, NA, NA, NA, N…
$ old_website                      <chr> NA, NA, NA, NA, NA, NA, NA, NA, NA, N…
$ opening_hours                    <chr> "Th-Tu 18:30-02:30", "Mo-Su 11:00-15:…
$ `opening_hours:covid19`          <chr> NA, NA, NA, NA, NA, NA, NA, NA, NA, N…
$ `opening_hours:kitchen`          <chr> NA, NA, NA, NA, NA, NA, NA, NA, NA, N…
$ `opening_hours:shop`             <chr> NA, NA, NA, NA, NA, NA, NA, NA, NA, N…
$ `opening_hours:signed`           <chr> NA, NA, NA, NA, NA, NA, NA, NA, NA, N…
$ operator                         <chr> NA, NA, NA, "N.G.A. Srl.", NA, "Enote…
$ organic                          <chr> NA, NA, NA, NA, NA, NA, NA, NA, NA, N…
$ outdoor                          <chr> NA, NA, NA, NA, NA, NA, NA, NA, NA, N…
$ outdoor_seating                  <chr> NA, NA, NA, NA, NA, NA, NA, NA, NA, N…
$ oven                             <chr> NA, NA, NA, "wood_fired", NA, NA, NA,…
$ owner                            <chr> NA, NA, NA, NA, NA, NA, NA, NA, NA, N…
$ parking_space                    <chr> NA, NA, NA, NA, NA, NA, NA, NA, NA, N…
$ `payment:american_express`       <chr> NA, NA, NA, NA, NA, NA, NA, NA, NA, N…
$ `payment:apple_pay`              <chr> NA, NA, NA, NA, NA, NA, NA, NA, NA, N…
$ `payment:bancomat`               <chr> NA, NA, NA, NA, NA, NA, NA, NA, NA, N…
$ `payment:cards`                  <chr> NA, NA, NA, NA, NA, NA, NA, NA, NA, N…
$ `payment:cash`                   <chr> NA, NA, NA, NA, NA, NA, NA, NA, NA, N…
$ `payment:coins`                  <chr> NA, NA, NA, NA, NA, NA, NA, NA, NA, N…
$ `payment:contactless`            <chr> NA, NA, NA, NA, NA, NA, NA, NA, NA, N…
$ `payment:credit_cards`           <chr> NA, NA, NA, NA, NA, NA, NA, NA, NA, N…
$ `payment:debit_cards`            <chr> NA, NA, NA, NA, NA, NA, NA, NA, NA, N…
$ `payment:girocard`               <chr> NA, NA, NA, NA, NA, NA, NA, NA, NA, N…
$ `payment:jcb`                    <chr> NA, NA, NA, NA, NA, NA, NA, NA, NA, N…
$ `payment:maestro`                <chr> NA, NA, NA, NA, NA, NA, NA, NA, NA, N…
$ `payment:mastercard`             <chr> NA, NA, NA, NA, NA, NA, NA, NA, NA, N…
$ `payment:mastercard_contactless` <chr> NA, NA, NA, NA, NA, NA, NA, NA, NA, N…
$ `payment:nfc`                    <chr> NA, NA, NA, NA, NA, NA, NA, NA, NA, N…
$ `payment:notes`                  <chr> NA, NA, NA, NA, NA, NA, NA, NA, NA, N…
$ `payment:v_pay`                  <chr> NA, NA, NA, NA, NA, NA, NA, NA, NA, N…
$ `payment:visa`                   <chr> NA, NA, NA, NA, NA, NA, NA, NA, NA, N…
$ `payment:visa_debit`             <chr> NA, NA, NA, NA, NA, NA, NA, NA, NA, N…
$ `payment:visa_electron`          <chr> NA, NA, NA, NA, NA, NA, NA, NA, NA, N…
$ phone                            <chr> "+39 06 5800919", "+39 06 481 4425", …
$ phone2                           <chr> NA, NA, NA, NA, NA, NA, NA, NA, NA, N…
$ `ref:IT:rea`                     <chr> NA, NA, NA, NA, NA, NA, NA, NA, NA, N…
$ `ref:vatin`                      <chr> NA, NA, NA, "IT07728381000", NA, "IT0…
$ reservation                      <chr> NA, NA, NA, NA, NA, NA, NA, NA, NA, N…
$ restaurant                       <chr> NA, NA, NA, NA, NA, NA, NA, NA, NA, N…
$ `restaurant:type`                <chr> NA, NA, NA, NA, NA, NA, NA, NA, NA, N…
$ `restaurant:type:it`             <chr> NA, NA, NA, "pizzeria;bisteccheria;sf…
$ `roof:colour`                    <chr> NA, NA, NA, NA, NA, NA, NA, NA, NA, N…
$ `roof:material`                  <chr> NA, NA, NA, NA, NA, NA, NA, NA, NA, N…
$ `roof:orientation`               <chr> NA, NA, NA, NA, NA, NA, NA, NA, NA, N…
$ `roof:shape`                     <chr> NA, NA, NA, NA, NA, NA, NA, NA, NA, N…
$ self_service                     <chr> NA, NA, NA, NA, NA, NA, NA, NA, NA, N…
$ `sells:ice_cream`                <chr> NA, NA, NA, NA, NA, NA, NA, NA, NA, N…
$ shop                             <chr> NA, NA, NA, NA, NA, NA, NA, NA, NA, N…
$ slow_food                        <chr> NA, NA, NA, NA, NA, NA, NA, NA, NA, N…
$ smoking                          <chr> NA, NA, NA, NA, NA, NA, NA, NA, NA, N…
$ `smoking:outside`                <chr> NA, NA, NA, NA, NA, NA, NA, NA, NA, N…
$ source                           <chr> NA, NA, "Bing, Local knowledge", NA, …
$ stars                            <chr> NA, NA, NA, NA, NA, NA, NA, NA, NA, N…
$ start_date                       <chr> NA, NA, NA, NA, NA, NA, NA, NA, NA, N…
$ `survey:date`                    <date> NA, NA, NA, NA, NA, NA, NA, NA, NA, …
$ takeaway                         <chr> NA, NA, NA, NA, NA, NA, NA, NA, NA, N…
$ `takeaway:covid19`               <chr> NA, NA, NA, NA, NA, NA, NA, NA, NA, N…
$ `takeaway:description`           <chr> NA, NA, NA, NA, NA, NA, NA, NA, NA, N…
$ theme                            <chr> NA, NA, NA, NA, NA, NA, NA, NA, NA, N…
$ toilets                          <chr> NA, NA, NA, NA, NA, NA, NA, NA, NA, N…
$ `toilets:access`                 <chr> NA, NA, NA, NA, NA, NA, NA, NA, NA, N…
$ `toilets:wheelchair`             <chr> NA, NA, NA, NA, NA, NA, NA, NA, NA, N…
$ tourism                          <chr> NA, NA, NA, NA, NA, NA, NA, NA, NA, N…
$ type                             <chr> NA, NA, NA, NA, NA, NA, NA, NA, NA, N…
$ `type:it`                        <chr> NA, NA, NA, NA, NA, NA, NA, NA, NA, N…
$ url                              <chr> NA, NA, NA, NA, NA, "http://colosseoo…
$ vat                              <chr> NA, NA, NA, NA, NA, NA, NA, NA, NA, N…
$ vatin                            <chr> NA, NA, NA, NA, NA, NA, NA, NA, NA, N…
$ website                          <chr> "http://m.facebook.com/aimarmi", NA, …
$ `website:covid19`                <chr> NA, NA, NA, NA, NA, NA, NA, NA, NA, N…
$ `website:menu`                   <chr> NA, NA, NA, NA, NA, NA, NA, NA, NA, N…
$ `wetap:status`                   <chr> NA, NA, NA, NA, NA, NA, NA, NA, NA, N…
$ wheelchair                       <chr> NA, NA, NA, NA, NA, "no", NA, "limite…
$ `wheelchair:description`         <chr> NA, NA, NA, NA, NA, NA, NA, NA, NA, N…
$ wikidata                         <chr> NA, NA, NA, NA, NA, NA, NA, NA, NA, N…
$ wikimedia_commons                <chr> NA, NA, NA, NA, NA, NA, NA, NA, NA, N…
$ wikipedia                        <chr> NA, NA, NA, NA, NA, NA, NA, NA, NA, N…
$ geometry                         <POINT [°]> POINT (12.47379 41.88826), POIN…

The Data: Restaurants

This what these restaurants look like on the map.

You can download the background Rome data and central polygon.

Show Code - Reading Files
library(sf)
library(ggplot2)
library(dplyr)
gis_buildings <- st_read(dsn="./data/selection.gdb",
                         layer="gis_osm_buildings", quiet = T)

gis_osm_roads <- st_read(dsn="./data/selection.gdb",
                         layer="gis_osm_roads", quiet = T)

gis_osm_pofw <- st_read(dsn="./data/selection.gdb", 
                         layer="gis_osm_pofw", quiet = T)

gis_osm_pois <- st_read(dsn="./data/selection.gdb", 
                         layer="gis_osm_pois", quiet = T)

relev_poly<-st_read(dsn="./data/central_polygon.shp", quiet = T)
st_crs(relev_poly)<-st_crs(gis_osm_pois)
Show Code - Calculating Centroid Vatican
#Calculating polygon centroids
library("stringr")
error<-0.03
vatican <- subset(gis_osm_pofw, name=="Basilica di San Pietro")
vatican$lonlat<-st_centroid(st_geometry(vatican))
vatican[c('lon_x', 'lat_y')]<-str_split_fixed(vatican$lonlat, ",", 2)
vatican$lat_y<-as.numeric(str_replace(vatican$lat_y, "\\)", ""))
vatican$lon_x<-as.numeric(str_replace(vatican$lon_x, "c\\(", ""))
error<-0.03
min_lon_x<-min(vatican$lon_x-error)
max_lon_x<-max(vatican$lon_x+error)
min_lat_y<-min(vatican$lat_y-error)
max_lat_y<-max(vatican$lat_y+error)

The Data: Restaurants

Show Code
fig<-ggplot()+
  geom_sf(data=relev_poly, linewidth = 0.1, fill = NA, color = "red", alpha=0.5)+
  geom_sf(data=restaurants, color="blue", size=0.2)+
    ggspatial::annotation_scale(location = 'tr')+
    geom_sf(data=gis_osm_roads, linewidth = 0.1, color = "black", alpha=0.5)+
    theme(panel.grid.major = element_blank(), panel.grid.minor = element_blank())+
      coord_sf(xlim = c(min_lon_x - error, max_lon_x + error), 
           ylim = c(min_lat_y - error, max_lat_y + error))
fig

The Data: Fast-food restaurants

We can also search for fast-food restaurants.

The Data: Fast-food restaurants

We can also search for fast-food restaurants.

The Data: Fast-food restaurants

We can also search for fast-food restaurants.

The Data: Restaurants

For consistency and to be able to have exactly the same result, download the fast-food restaurants data

The Data: Fast-food restaurants

This what this data looks like using ggplot:

Show Code
#Step1: Reading geojson
fastfood <- read_sf("./data/fast_food.geojson", quiet=TRUE)
fig<-ggplot()+
  geom_sf(data=relev_poly, linewidth = 0.1, fill = NA, color = "red", alpha=0.5)+
    ggspatial::annotation_scale(location = 'tr')+
    geom_sf(data=gis_osm_roads, linewidth = 0.1, color = "black", alpha=0.5)+
    geom_sf(data=fastfood, color="red", size=0.2)+
    theme(panel.grid.major = element_blank(), panel.grid.minor = element_blank())+
      coord_sf(xlim = c(min_lon_x - error, max_lon_x + error), 
           ylim = c(min_lat_y - error, max_lat_y + error))
fig

The Data: McDonald’s

We have now selected all the fast-food restaurants.

However we want to simply select just the McDonald’s restaurants.

The problem is that there is no consistency about where the name “McDonald’s” is located:

  • the name “McDonald’s” could be located in a variety of fields.

We can now select McDonald’s from the list of fast-food restaurants.

The Data: McDonald’s

We can now select McDonald’s from the list of fast-food restaurants.

#Step1: Reading geojson
fastfood <- read_sf("./data/fast_food.geojson", quiet = TRUE)
head(fastfood, n=5)

The Data: McDonald’s

We can go over every field and search for any word that has “mcdon” contained within.

#Step1: Reading geojson
fastfood <- read_sf("./data/fast_food.geojson", quiet=TRUE)
#Step2: Apply grepl function to each column and check for the presence of the word
row_indices_with_word <- apply(fastfood, 1, function(row) any(grepl("mcdon", row, ignore.case = TRUE)))
head(row_indices_with_word, 15)
 [1] FALSE FALSE FALSE FALSE FALSE FALSE FALSE FALSE  TRUE  TRUE FALSE FALSE
[13]  TRUE  TRUE  TRUE

The Data: McDonald’s

We can now select McDonald’s from the list of restaurants

#Step3: Subset the original data frame based on rows with the word
mcdon <- fastfood[row_indices_with_word, ]
head(mcdon, 3)

The Data: McDonald’s

This is the original data:

Show Code
fig<-ggplot()+
  geom_sf(data=relev_poly, linewidth = 0.1, fill = NA, color = "red", alpha=0.5)+
    ggspatial::annotation_scale(location = 'tr')+
    geom_sf(data=gis_osm_roads, linewidth = 0.1, color = "black", alpha=0.1)+
    geom_sf(data=fastfood, color="red", size=0.2)+
    theme(panel.grid.major = element_blank(), panel.grid.minor = element_blank())+
      coord_sf(xlim = c(min_lon_x - error, max_lon_x + error), 
           ylim = c(min_lat_y - error, max_lat_y + error))
fig

The Data: McDonald’s

This is only McDonald’s:

Show Code
fig<-ggplot()+
  geom_sf(data=relev_poly, linewidth = 0.1, fill = NA, color = "red", alpha=0.5)+
    ggspatial::annotation_scale(location = 'tr')+
    geom_sf(data=gis_osm_roads, linewidth = 0.1, color = "black", alpha=0.1)+
    geom_sf(data=mcdon, color="yellow", size=0.5)+
    theme(panel.grid.major = element_blank(), panel.grid.minor = element_blank())+
      coord_sf(xlim = c(min_lon_x - error, max_lon_x + error), 
           ylim = c(min_lat_y - error, max_lat_y + error))
fig

The Data: Population Raster

We can download population density from SEDAC.

The Data: Population Raster

We can download population density from SEDAC.

The Data: Population Raster

We can download population density from SEDAC.

The Data: Population Raster

We can download population density from SEDAC.

The Data: Population Raster

We can download population density from SEDAC.

The Data: Population Raster

We can download population density from SEDAC.

The Data: Population Raster

We can download population density from SEDAC.

The Data: Population Raster

We can download population density from SEDAC.

The Data: Population Raster

We can download population density from SEDAC.

The Data: Population Raster

To save time, you can downlod the 2020 world population density data.

Reading the tif file

#Step1: Raster with population
library(stars)
raster <- read_stars("./data/gpw-v4-population-density-rev11_2020_30_sec_tif/gpw_v4_population_density_rev11_2020_30_sec.tif")
st_crs(raster)<-st_crs(relev_poly)

The Data: Population Raster

Reading the tif file

#Step1: Raster with population
plot(raster)

The Data: Population Raster

We now need to process the tif file to make it smaller (focus only on the region of interest).

Normal computers do not have enough memory to manipulate the data.

We will crop the world raster to only the tiny area around Rome.

This is the polygon depicted in red here.

Clipping rasters

Clipping rasters

The Data: Population Raster

We first need to identify the maximum latitude and longitude of this polygon

The Data: Population Raster

To obtain the four points, we need to identify the extreme points of the the central Rome polygon.

ggplot()+
  geom_sf(data=relev_poly, fill=NA, color="red")+
  theme_bw()

The Data: Population Raster

To obtain the four points, we need to use the following code.

#Step1: Making a list of the min and max lat and lon
ext<-st_bbox(relev_poly)
str(ext)
 'bbox' Named num [1:4] 12.4 41.8 12.6 42
 - attr(*, "names")= chr [1:4] "xmin" "ymin" "xmax" "ymax"
 - attr(*, "crs")=List of 2
  ..$ input: chr "WGS 84"
  ..$ wkt  : chr "GEOGCRS[\"WGS 84\",\n    ENSEMBLE[\"World Geodetic System 1984 ensemble\",\n        MEMBER[\"World Geodetic Sys"| __truncated__
  ..- attr(*, "class")= chr "crs"

Cropping Population Raster

The extent of the original raster

#Step1: Making a list of the min and max lat and lon
ext2<-st_bbox(raster)
str(ext2)
 'bbox' Named num [1:4] -180 -90 180 90
 - attr(*, "names")= chr [1:4] "xmin" "ymin" "xmax" "ymax"
 - attr(*, "crs")=List of 2
  ..$ input: chr "WGS 84"
  ..$ wkt  : chr "GEOGCRS[\"WGS 84\",\n    ENSEMBLE[\"World Geodetic System 1984 ensemble\",\n        MEMBER[\"World Geodetic Sys"| __truncated__
  ..- attr(*, "class")= chr "crs"

Cropping Population Raster

We now finally crop the raster

rc <- st_crop(raster, ext)
plot(rc)

Cropping Population Raster

This is how the two rasters compare

plot(raster)

Cropping Population Raster

This is how the two rasters compare

plot(rc)

Turning a raster to gridded polygons

We now want to transform the picture (raster) into a feature polygon.

In our case, we want to turn our raster into polygon grids.

Turning a raster to gridded polygons

In our case, there are no differences between a raster and a polygon feature based on that raster.

Turning a raster to gridded polygons

Visually, there are no differences between a raster and a polygon feature based on that raster.

However, the raster is a picture (tif file), while the polygon feature is a shape file.

Turning Raster to a Grid

This is how we turn the raster into a grid polygon

#Step1: Turning the cropped raster into a grid polygon
g2<-st_as_sf(rc)
#Step2: Renaming the raster values
names(g2)[names(g2)==names(g2)[1]]<-"pop"

Turning Raster to Grid

We can now map the new grid

#Step3: Mapping population 
ggplot()+
  geom_sf(data=g2, aes(fill=pop))+
  theme_bw()

Calculating grid centroids

We can calculate grid centroid in order to display the value of the raster.

Calculating grid centroids

We can calculate grid centroid in order to display the value of the raster.

Making a grid

Mapping grid values

#Step1: Preparing the labels
g2$pop2<-round(g2$pop,1)

#Step2: Mapping the data
fig<-ggplot()+
  geom_sf(data=g2, aes(fill=pop), color=NA, alpha=0.6)+
  scale_fill_viridis_c(option = "magma",begin = 0.1)+
  coord_sf(xlim = c(min_lon_x - error, max_lon_x + error), 
           ylim = c(min_lat_y - error, max_lat_y + error))+
  geom_sf_text(data=g2, aes(label=pop2),size=1)+
  theme(panel.grid.major = element_blank(), panel.grid.minor = element_blank())+
  ggspatial::annotation_scale(location = 'tr')

Making a grid

Mapping grid values

Making a grid

fig<-ggplot()+
  geom_sf(data=g2, aes(fill=pop), color=NA, alpha=0.6)+
  scale_fill_viridis_c(option = "magma",begin = 0.1)+
  geom_sf(data=relev_poly, linewidth = 0.1, fill = NA, color = "red", alpha=0.5)+
  geom_sf(data=gis_osm_roads, linewidth = 0.1, color = "black", alpha=0.5)+
  theme(panel.grid.major = element_blank(), panel.grid.minor = element_blank())+
  coord_sf(xlim = c(min_lon_x - error, max_lon_x + error), 
           ylim = c(min_lat_y - error, max_lat_y + error))+
  ggspatial::annotation_scale(location = 'tr')

Making a grid

Loading restaurants

library(sf)
restaurants <- read_sf("./data/restaurant.geojson", quiet=TRUE)
restaurants<-subset(restaurants, select = c(name, `addr:street`))
restaurants2<-subset(restaurants, !is.na(restaurants$name) & !is.na(restaurants$`addr:street`) )

Loading restaurants

fig<-ggplot()+
  geom_sf(data=g2, aes(fill=pop), color=NA, alpha=0.6)+
  scale_fill_viridis_c(option = "magma",begin = 0.1)+
  geom_sf(data=relev_poly, linewidth = 0.1, fill = NA, color = "red", alpha=0.5)+
  geom_sf(data=restaurants2, color="blue", size=0.2)+
  geom_sf(data=gis_osm_roads, linewidth = 0.1, color = "black", alpha=0.5)+
  theme(panel.grid.major = element_blank(), panel.grid.minor = element_blank())+
  coord_sf(xlim = c(min_lon_x - error, max_lon_x + error), 
           ylim = c(min_lat_y - error, max_lat_y + error))+
  ggspatial::annotation_scale(location = 'tr')

Loading restaurants

McDonalds

fig<-ggplot()+
  geom_sf(data=g2, aes(fill=pop), color=NA, alpha=0.6)+
  scale_fill_viridis_c(option = "magma",begin = 0.1)+
  geom_sf(data=relev_poly, linewidth = 0.1, fill = NA, color = "red", alpha=0.5)+
  geom_sf(data=restaurants2, color="blue", size=0.2)+
  geom_sf(data=mcdon, color="yellow", size=0.8)+
  geom_sf(data=gis_osm_roads, linewidth = 0.1, color = "black", alpha=0.5)+
  theme(panel.grid.major = element_blank(), panel.grid.minor = element_blank())+
  coord_sf(xlim = c(min_lon_x - error, max_lon_x + error), 
           ylim = c(min_lat_y - error, max_lat_y + error))+
  ggspatial::annotation_scale(location = 'tr')

McDonalds

Calculating Restaurant density

g2$pop<-round(g2$pop,2)
g3 <- g2 %>% 
  mutate(rest = lengths(st_intersects(., restaurants2)),
         mc = lengths(st_intersects(., mcdon)))
g3$rest_per_1000ppl<-g3$rest/g3$pop*1000
g3$rest_per_1000ppl<-round(g3$rest_per_1000ppl,2)
g3$mc_per_1000ppl<-g3$mc/g3$pop*1000
g3$mc_per_1000ppl<-round(g3$mc_per_1000ppl,2)
head(g3, 3)

Mapping Restaurant density

Mapping restaurants in a grid:

fig1<-ggplot()+
  geom_sf(data=g3, aes(fill=rest), color=NA, alpha=0.6)+
  scale_fill_viridis_c(option = "magma",begin = 0.1)+
  geom_sf(data=relev_poly, linewidth = 0.1, fill = NA, color = "red", alpha=0.5)+
  geom_sf(data=restaurants2, color="blue", size=0.2)+
  geom_sf(data=mcdon, color="yellow", size=0.8)+
    ggspatial::annotation_scale(location = 'tr')+
    geom_sf(data=gis_osm_roads, linewidth = 0.1, color = "black", alpha=0.5)+
    theme(panel.grid.major = element_blank(), panel.grid.minor = element_blank())+
      coord_sf(xlim = c(min_lon_x - error, max_lon_x + error), 
           ylim = c(min_lat_y - error, max_lat_y + error))

Mapping Restaurant density

Mapping restaurants in a grid:

Mapping Restaurant density

Mapping log restaurants + 1 in a grid:

fig2<-ggplot()+
  geom_sf(data=g3, aes(fill=log(rest+1)), color=NA, alpha=0.6)+
  scale_fill_viridis_c(option = "magma",begin = 0.1)+
  geom_sf(data=relev_poly, linewidth = 0.1, fill = NA, color = "red", alpha=0.5)+
  geom_sf(data=restaurants2, color="blue", size=0.2)+
  geom_sf(data=mcdon, color="yellow", size=0.8)+
    ggspatial::annotation_scale(location = 'tr')+
    geom_sf(data=gis_osm_roads, linewidth = 0.1, color = "black", alpha=0.5)+
    theme(panel.grid.major = element_blank(), panel.grid.minor = element_blank())+
      coord_sf(xlim = c(min_lon_x - error, max_lon_x + error), 
           ylim = c(min_lat_y - error, max_lat_y + error))

Mapping Restaurant density

Mapping log restaurants + 1 in a grid:

Mapping Restaurant density

Notice the difference

Show Code
library(ggpubr)
library(lemon)
fig1<-ggplot()+
  geom_sf(data=g3, aes(fill=rest), color=NA, alpha=0.6)+
  scale_fill_viridis_c(option = "magma",begin = 0.1)+
  geom_sf(data=relev_poly, linewidth = 0.1, fill = NA, color = "red", alpha=0.5)+
  geom_sf(data=restaurants2, color="blue", size=0.2)+
  geom_sf(data=mcdon, color="yellow", size=0.8)+
    ggspatial::annotation_scale(location = 'tr')+
    geom_sf(data=gis_osm_roads, linewidth = 0.1, color = "black", alpha=0.5)+
    coord_sf(xlim = c(min_lon_x - error, max_lon_x + error), 
           ylim = c(min_lat_y - error, max_lat_y + error))+
  theme(axis.title = element_blank(),   # Remove axis titles
        axis.ticks = element_blank(),
        legend.box.background = element_rect(fill = "white", 
                                             linewidth=0.5, linetype="solid",
                                             colour = "black"),
        legend.position = c(0, 1),
        legend.justification = c(0, 1))


fig2<-ggplot()+
  geom_sf(data=g3, aes(fill=log(rest+1)), color=NA, alpha=0.6)+
  scale_fill_viridis_c(option = "magma",begin = 0.1)+
  geom_sf(data=relev_poly, linewidth = 0.1, fill = NA, color = "red", alpha=0.5)+
  geom_sf(data=restaurants2, color="blue", size=0.2)+
  geom_sf(data=mcdon, color="yellow", size=0.8)+
    ggspatial::annotation_scale(location = 'tr')+
    geom_sf(data=gis_osm_roads, linewidth = 0.1, color = "black", alpha=0.5)+
    coord_sf(xlim = c(min_lon_x - error, max_lon_x + error), 
           ylim = c(min_lat_y - error, max_lat_y + error))+
  theme(axis.title = element_blank(),   # Remove axis titles
        axis.ticks = element_blank(),
        legend.box.background = element_rect(fill = "white", 
                                             linewidth=0.5, linetype="solid",
                                             colour = "black"),
        legend.position = c(0, 1),
        legend.justification = c(0, 1))

ggarrange(fig1, fig2, ncol=2)

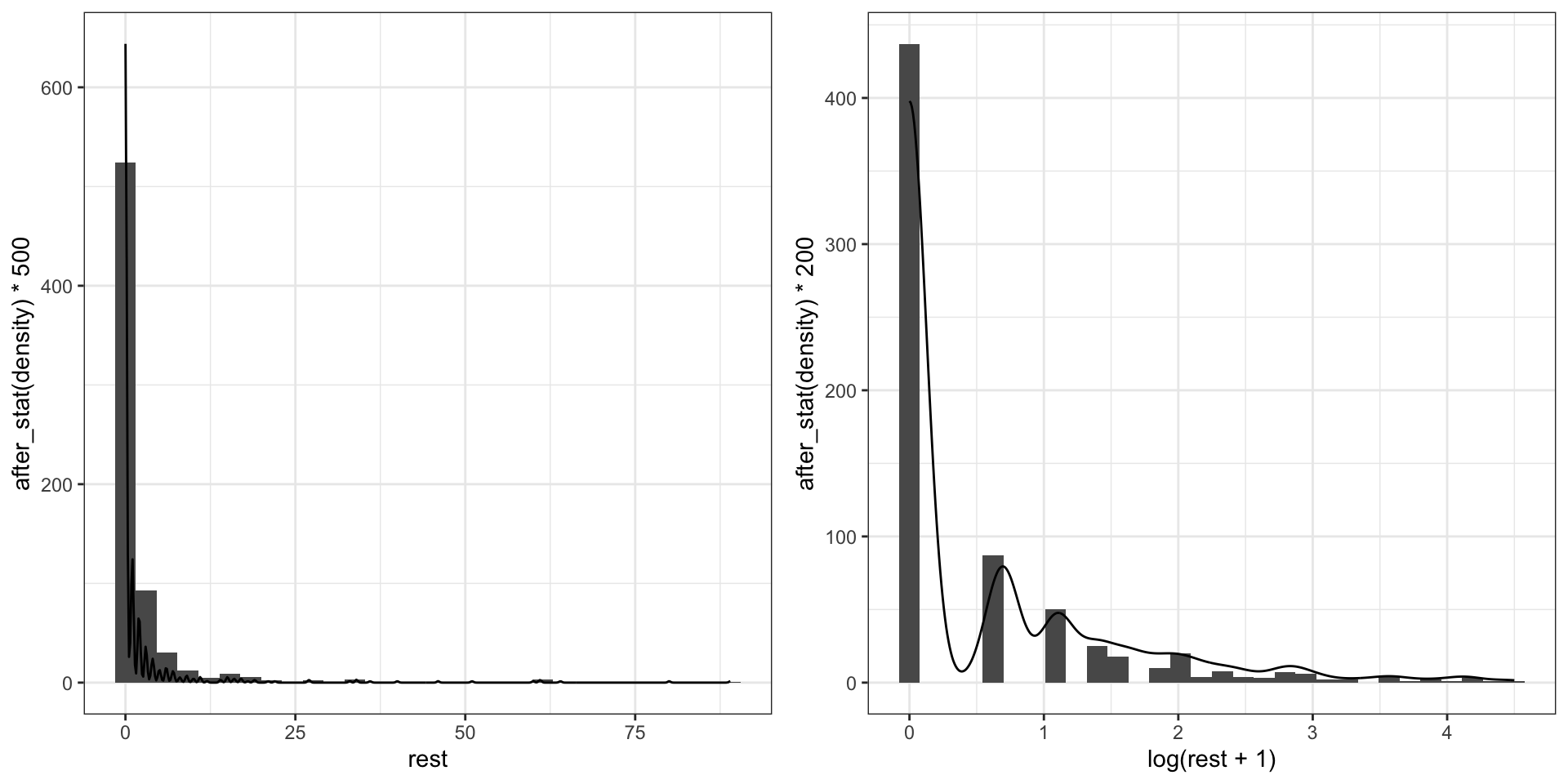
Mapping Restaurant density

Notice also the difference in the distribution of the two

Show Code
library(ggpubr)
fig3<-ggplot(data=g3, aes(rest))+
  geom_histogram()+
  geom_density(aes(y = after_stat(density)* 500), 
               fill=NA)+
  theme_bw()

fig4<-ggplot(data=g3, aes(log(rest+1)))+
  geom_histogram()+
  geom_density(aes(y = after_stat(density)* 200), 
               fill=NA)+
  theme_bw()

ggarrange(fig3, fig4, ncol=2)

Mapping Restaurant density

Mapping log restaurants per thousand people + 1 in a grid:

fig<-ggplot()+
  geom_sf(data=g3, aes(fill=log(rest_per_1000ppl+1)), color=NA, alpha=0.6)+
  scale_fill_viridis_c(option = "magma",begin = 0.1)+
  geom_sf(data=relev_poly, linewidth = 0.1, fill = NA, color = "red", alpha=0.5)+
  geom_sf(data=restaurants2, color="blue", size=0.2)+
  geom_sf(data=mcdon, color="yellow", size=0.8)+
    ggspatial::annotation_scale(location = 'tr')+
    geom_sf(data=gis_osm_roads, linewidth = 0.1, color = "black", alpha=0.5)+
    theme(panel.grid.major = element_blank(), panel.grid.minor = element_blank())+
      coord_sf(xlim = c(min_lon_x - error, max_lon_x + error), 
           ylim = c(min_lat_y - error, max_lat_y + error))

Mapping Restaurant density

Mapping log restaurants per thousand people + 1 in a grid:

Mapping Restaurant density

Mapping log McDonald’s restaurants per thousand people + 1 in a grid:

fig<-ggplot()+
  geom_sf(data=g3, aes(fill=log(mc_per_1000ppl+1)), color=NA, alpha=0.6)+
  scale_fill_viridis_c(option = "magma",begin = 0.1)+
  geom_sf(data=relev_poly, linewidth = 0.1, fill = NA, color = "red", alpha=0.5)+
  geom_sf(data=restaurants2, color="blue", size=0.2)+
  geom_sf(data=mcdon, color="yellow", size=0.8)+
    ggspatial::annotation_scale(location = 'tr')+
    geom_sf(data=gis_osm_roads, linewidth = 0.1, color = "black", alpha=0.5)+
    theme(panel.grid.major = element_blank(), panel.grid.minor = element_blank())+
      coord_sf(xlim = c(min_lon_x - error, max_lon_x + error), 
           ylim = c(min_lat_y - error, max_lat_y + error))

Mapping Restaurant density

Mapping log McDonald’s restaurants per thousand people + 1 in a grid:

Business Decision

Let us assume that our business decision relies on the following criteria:

  1. The grid cell has to have more than 1000 people
  1. The grid cell has to have no McDonald’s restaurants.
  1. There should be at least one other restaurant.
  1. There should be no more than 50 restaurants.

Note that these numbers are arbitrary here. We can obviously change these parameters.

manypeople<-subset(g3, pop>=1000 & mc==0 & rest>=1 & rest<50)

Mapping Restaurant density

manypeople<-subset(g3, pop>1000 & mc==0 & rest>=1 & rest<50)
fig<-ggplot()+
  geom_sf(data=manypeople, aes(fill=log(pop+1)), color=NA, alpha=0.6)+
  scale_fill_viridis_c(option = "magma",begin = 0.1)+
  geom_sf(data=relev_poly, linewidth = 0.1, fill = NA, color = "red", alpha=0.5)+
  geom_sf(data=restaurants2, color="blue", size=0.2)+
  geom_sf(data=mcdon, color="yellow", size=0.8)+
    ggspatial::annotation_scale(location = 'tr')+
    geom_sf(data=gis_osm_roads, linewidth = 0.1, color = "black", alpha=0.5)+
    theme(panel.grid.major = element_blank(), panel.grid.minor = element_blank())+
      coord_sf(xlim = c(min_lon_x - error, max_lon_x + error), 
           ylim = c(min_lat_y - error, max_lat_y + error))

Mapping Restaurant density

Mapping Restaurant density

Finllay, we want something within 3 km from the Vatican

vatican <- subset(gis_osm_pofw, name=="Basilica di San Pietro")
vatican$lonlat<-st_centroid(st_geometry(vatican))
vatican[c('lon_x', 'lat_y')]<-str_split_fixed(vatican$lonlat, ",", 2)
vatican$lat_y<-as.numeric(str_replace(vatican$lat_y, "\\)", ""))
vatican$lon_x<-as.numeric(str_replace(vatican$lon_x, "c\\(", ""))
vatican1<-subset(vatican, select = c(name))

fig<-ggplot()+
  geom_sf(data=manypeople, aes(fill=log(pop+1)), color=NA, alpha=0.6)+
  scale_fill_viridis_c(option = "magma",begin = 0.1)+
  geom_sf(data=relev_poly, linewidth = 0.1, fill = NA, color = "red", alpha=0.5)+
  geom_sf(data=restaurants2, color="blue", size=0.2)+
  geom_sf(data=mcdon, color="yellow", size=0.8)+
  geom_sf(data=vatican1, color="green")+
  ggspatial::annotation_scale(location = 'tr')+
  geom_sf(data=gis_osm_roads, linewidth = 0.1, color = "black", alpha=0.5)+
  theme(panel.grid.major = element_blank(), panel.grid.minor = element_blank())+
  coord_sf(xlim = c(min_lon_x - error, max_lon_x + error), 
           ylim = c(min_lat_y - error, max_lat_y + error))

Mapping Restaurant density

Finally, we want something within 3 km from the Vatican

Selecting the Vatican

#Creating the 3km buffer
#Step1: Turning the relevant shape to a metric systems
vatican_reproj = st_transform(vatican, 6875)
#Step2: Creating the 3km 
vatican_buff <- st_buffer(vatican_reproj, dist = 3000)
#Step3: Turning back to WGS84
vatican_buff2<-st_transform(st_as_sf(vatican_buff), st_crs(vatican))

Plotting the Buffer

fig<-ggplot()+
  geom_sf(data=manypeople, aes(fill=log(pop+1)), color=NA, alpha=0.6)+
  scale_fill_viridis_c(option = "magma",begin = 0.1)+
  geom_sf(data=relev_poly, linewidth = 0.1, fill = NA, color = "red", alpha=0.5)+
  geom_sf(data=restaurants2, color="blue", size=0.2)+
  geom_sf(data=mcdon, color="yellow", size=0.8)+
  geom_sf(data=vatican1, color="chartreuse3")+
  geom_sf(data=vatican_buff2, color="chartreuse3", fill=NA, linewidth=1)+
    ggspatial::annotation_scale(location = 'tr')+
    geom_sf(data=gis_osm_roads, linewidth = 0.1, color = "black", alpha=0.5)+
    theme(panel.grid.major = element_blank(), panel.grid.minor = element_blank())+
      coord_sf(xlim = c(min_lon_x - error, max_lon_x + error), 
           ylim = c(min_lat_y - error, max_lat_y + error))

Plotting the Buffer

Intersecting Polygons with Buffer

#Intersecting the Buffers
sf_inters<-st_intersection(manypeople, vatican_buff2)

Plotting the Intersect

fig<-ggplot()+
  geom_sf(data=manypeople, aes(fill=log(pop+1)), color=NA, alpha=0.6)+
  geom_sf(data=sf_inters, color="red", linewidth = 1, fill=NA, alpha=0.6)+
  scale_fill_viridis_c(option = "magma",begin = 0.1)+
  geom_sf(data=gis_osm_roads, linewidth = 0.1, color = "black", alpha=0.5)+
  geom_sf(data=relev_poly, linewidth = 0.1, fill = NA, color = "red", alpha=0.5)+
  geom_sf(data=restaurants2, color="blue", size=0.2)+
  geom_sf(data=mcdon, color="yellow", size=0.8)+
  geom_sf(data=vatican1, color="chartreuse3")+
  geom_sf(data=vatican_buff2, color="chartreuse3", fill=NA, linewidth=1)+
  theme(panel.grid.major = element_blank(), panel.grid.minor = element_blank())+
  coord_sf(xlim = c(min_lon_x - error, max_lon_x + error), 
           ylim = c(min_lat_y - error, max_lat_y + error))+
  ggspatial::annotation_scale(location = 'tr')

Plotting the Intersect

Final Product

Let us now simply plot those areas

Final Product

Let us now simply plot those areas

Conclusion

We have revisited a few GIS tools during this lecture:

  • Helpful tool of pre-processed OSM data: Overpass Turbo Eu
  • How to read geojson files
  • Data that captures population density
  • How to clip rasters
  • How to turn rasters into polygon grids
  • How to count points per polygon
  • How to make buffers
  • How to identify polygons that fall within a buffer